Skip to content
Join Our TeamPowerschoolESSER Funding
Return to Home

Walsh School District RE 1

SOAR with the Eagles
Join Our TeamPowerschoolESSER Funding
Sign in
Sign in
Show submenu for Our District

Our District

Powerschool
Financial Transparency
Join Our Team
Evaluation
Walsh Wellness
School Board Information
Policies
Elementary

Elementary

Academics and Projects
Junior & Senior High

Junior & Senior High

Service & Leadership Team (SLT)
Community Weight Room Program
Class & Club Officers
Walsh History
Show submenu for Athletics

Athletics

Walsh Athletics
Forms
Volleyball
Football
Cheerleading
Basketball
Wrestling
Baseball
Track
Show submenu for
  • Walsh School District RE 1
  • News
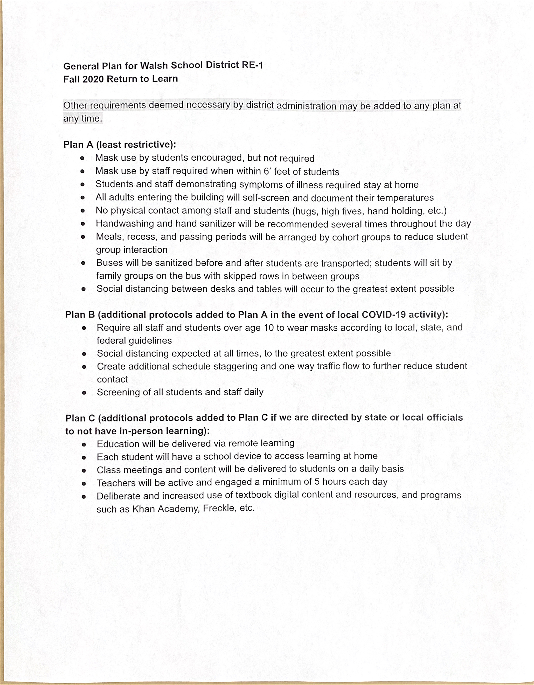
  • 2020-2021 In-Person Learning Options

2020-2021 In-Person Learning Options

Walsh School District

July 14, 2020



Find Us

Walsh School District RE 1PO Box 68Walsh, CO 81090(719) 324-5400 Fax (719) 324-5426

Schools

  • Walsh School District RE 1
  • Walsh Preschool
  • Walsh Elementary School
  • Walsh Jr. & Sr. High School
  • Financial Transparency
  • Colorado Association of School Boards
  • State Required Documents
  • Financial Information - November 2021 Election

Stay Connected

Download our iOS AppDownload our Android App
  • Visit us on Facebook
Copyright © 2026 Walsh School District RE 1. All rights reserved.Powered By Apptegy Visit us to learn more